Here's a paradox: How can two groups of mice, on exactly the same chow, have different 24h averaged RQs, p less than 0.05?
It's from here if anyone wants to peek at the methods. Two sets of animals on the same chow. It's 9F 5020, 21% of calories from fat (7% of calories from PUFA) and 55% from carbohydrate.
At all time points the SC-VIS mice have an higher RQ, ie are oxidising more glucose, than the SHAM mice. But they are all fed the same chow, which should average out at the same overall RQ.
Clearly you can increase the RQ, even above 1.0, during de novo lipogenesis, especially when hungry mice suddenly eat carbohydrate. But there is either a payback during the sleep phase where RQ falls below the food derived RQ while that carbohydrate-derived fat is oxidised or there can be no fall in that fasting RQ if the DNL generated fat is "lost" in to adipocytes and stays there, ie under weight gain. Of course simply sequestering dietary fat in to adipocytes will generate an RQ more typical of glucose oxidation because less fat is being oxidised, full stop, during weight gain.
During on-going fat loss the extra low RQ from adipose derived fat oxidation does not have to be payed back either. "Food" of very low RQ, has been supplied from adipocytes. It's gone out of the body as CO2 and water.
But the black square mice are weight stable or actually losing adipose weight (ie should have an extra low RQ) at the time these RQs were measured, while the open diamond mice are actively gaining weight (including adipose tissue), so should have that higher RQ.
Food intakes are describes as "no significant difference" between the groups, despite the differential weight shifts.
To me this is inexplicable and should have been discussed in the paper. My feeling is the CLAMS equipment is generating a totally illogical result.
Unless I've totally missed something. I would really like to know whether I have totally missed something.
Just on general principles of substrate oxidation, never mind what they have done to the mice.......
Peter
Wednesday, March 21, 2018
Sunday, March 18, 2018
Eating lots of meat and nothing much else
Wooo has posted a couple of times about Dr Shawn Baker who eats an all meat, very high protein diet, maybe over 400g/d protein intake. His HbA1c is reported as 6.3%. Personally I have absolutely no interest in this style of eating but the underlying mechanism is obviously interesting.
How about this for a hypothetical marked protein ingestion scenario:
A person eats a lot of meat. In response to the insulinogenic amino acids present they secrete insulin. This will be amino acid specific, I’ve not looked in to how amino acids trigger insulin secretion in detail but it will NOT be through pancreatic glucokinase and subsequent glucose metabolism, as is the case for glucose triggered insulin secretion. So they secrete post prandial insulin but not using glucokinase. The insulin will be exactly in balance with the glucagon for that specific protein meal.
The expression of the gene for generating pancreatic glucokinase is controlled by the carbohydrate content of the diet. Glucose means glucokinase is required. All amino acid diet, no glucose, down-regulate glucokinase.
So, as glucose is subsequently and gradually produced from gluconeogenic amino acids and then released from the liver over several hours (in the presence of only basal insulin), there is only a mild glucose derived stimulus to trigger insulin secretion, and this slow release of glucose by the liver also provides only a minimal drive to express the gene for pancreatic glucokinase. Also hepatic glucose output shouldn’t trigger any of the gut derived insulin secretion potentiating hormones (GLP-1 and the like).
So pancreatic glucokinase is mothballed. Modest glucose release from protein metabolism won’t trigger insulin secretion without the glucose sensor. End result is low insulin with moderately elevated glucose, especially during the time protein is being processed. Which I'd guess is pretty well all of the time on greater than 300g/d. How high should glucose go? High enough to allow a slow trickle to be taken up by constitutive transporters and so deal with hepatic glucose output in this way, without insulin facilitated augmentation. Facilitated by exercise if you like that sort of thing.
How toxic is glucose in the absence of hyperinsulinaemia, given that HbA1c over 6%? Dr Baker will let us know over the next 15 years!
Of course exactly the same happens on LCHF eating, just fat does not provoke chronic glucose release from its metabolism outside of a little glycerol derived gluconeogenesis… It probably happens too in some of the weird sucrose based weight loss diets where the mice (it's mostly mice but we all know that you can do "carbosis" in humans too) are hypoinsulinaemic (otherwise they would be fat!) but glucose intolerant. A diet based on a non-insulinogenic sugar (fructose) and its palmitate derivative will mothball pancreatic glucokinase too.
Peter
Friday, March 16, 2018
On phosphorylating AKT in GHrKO Laron mice
OK. I started this whole adipocyte thread because I was interested in the longevity effect in the GHrKO mouse, the Laron mouse. These posts get written because I am compelled to, I have no choice in it. I never know where they are going to end up as they start. This one has involved a lot of looking at the various types of adipocytes and how they function in normal physiology and what happened when transplanted to more unusual places. Much of it makes sense, and it does put a very different perspective on the roles of visceral and subcutaneous adipose tissue. What I was looking for was what might be special about Laron dwarf mouse derived adipocytes. You can't quite find all of the answers you want to because not all of the questions have really been asked directly, but I think you can get close. I think this is going to be the last post in the series, a relief to me, and possibly to readers too.
Laron mice (GHrKO) are the longest lifespan mice ever engineered by humans. They are dwarf and obese and the obesity tends to be central. They have exquisitely low blood insulin levels and it is thought that the reduced signalling through the GH/IGF-1/insulin system is responsible for their longevity. Adding GHrKO adipocytes to the abdomen of normal mice improves their glucose tolerance significantly.
The role of transplanted visceral fat from the long-lived growth hormone receptor knockout mice on insulin signaling
N-S mice are normal mice with a sham implantation which adds no extra adipose tissue, N-N are normal mice receiving extra intra-abdominal adipose tissue from normal mice (these should really have had some enhanced glucose tolerance but all of these transplant models differ slightly in technique) and in this case the GTT was done at about eight days post op, ie there may well have been a lot of healing derived IL-6 visiting the liver. The N-GHrKO mice are Bl/6 mice which have received adiopcytes from GHrKO dwarves, shown as black squares:
The GHrKO adipocytes are clearly a bit more effective than the normal eWAT adipocytes from the last post. Personally, I was surprised at how relatively small the enhancement of the glucose tolerance was, but then there is always that IL-6 to overcome, so perhaps they really are Super Adipocytes.
GHrKO mice develop extremely elevated GH levels, probably through a total lack of IGF-1 negative feedback, but this GH does nothing. Without a receptor the GH, functionally, isn't there. The lack of GH induced lipolysis pushes the balance of adipocyte size towards the obese phenotype. It seems to affect pretty well all adipose depots fairly equally. If we then go on to look at adipose specific FaGHrKO mice, these are obese too but lack any of the insulin sensitising effects of the whole body GHrKO mice:
The Role of GH in Adipose Tissue: Lessons from Adipose-Specific GH Receptor Gene-Disrupted Mice
"Surprisingly, FaGHRKOs shared only a few characteristics with global GHR−/− mice. Like the GHR−/− mice, FaGHRKO mice are obese with increased total body fat and increased adipocyte size. However, FaGHRKO mice have increases in all adipose depots with no improvements in measures of glucose homeostasis".
My assumption that lack it is the of growth hormone signalling in adipocytes which promotes obesity may not be the whole explanation. It is also true that these FaGHrKO adipocytes, which are possibly very insulin sensitive, are working in a mouse with normal insulin signalling outside of those KO adipocytes. This means that the mice will have normal levels of systemic insulin sensitivity/resistance. Putting calories anywhere other than their special adipocytes will have the potential to induce insulin resistance and any increase in insulin to deal with this will undoubtedly put more triglyceride in to the insulin hyper-sensitive FaGHrKO adipocytes.
So much for GH.
The second effect in whole body GHrKO mice is that there is essentially no IGF-1 produced either by the liver or as a local tissue hormone in response the "invisible" GH. This is not the case in FaGHrKO mice, their adipocytes may never see GH but they see plenty of IGF-1 which is coming from the perfectly normal GH sensitive liver of the recipient mouse. So is it a lack of IGF-1 signalling which underlies the insulin sensitising effect of GHrKO mice?
"Maybe" is the definitive answer and "probably" the more borderline answer... I guess "dunno" still has to rate pretty well too.
If you disrupt the IGF-1 receptor of cell lines in tissue culture post-developmentally (using siRNAs) or if you study genetically IGF-1 knockout foetal derived fibroblasts, they all show marked increases in insulin signalling, which is inducible by the siRNAs when these are used. I've stuck the studies down at the end of the post. Note that none of the studies used adipocytes, but the effect appears generic to pretty well all cell lines tested.
Now, this is either receptor suppression or a receptor absence being used to generate this effect in all of the studies I've found. It has nothing to do with IGF-1 signalling, ie it's not a metabolic effect, it mostly seems to be that IGF-1 receptors associate with insulin receptors and stop them working as well as they can do. So it doesn't appear a loss of ligand induced signalling effect (though obviously there is no signalling if there is no receptor), it's the physical lack of IGF-1 receptors which causes the effect. Clearly GHrKO mice do have IGF-1 receptors, they just never manufacture any IGF-1 to stimulate them. Do these unused receptors have the effect of suppressing long term insulin signalling? I suppose it is possible that permanent, lifelong, severe elimination of all IGF-1 exposure might actually down-regulate IGF-1 receptor gene expression, so allow insulin receptors to work more effectively. We'd need an IGF-1 receptor count to be done on some true GHrKO Laron mice to find out if this is the case. The study hasn't been done that I can find but, if IGF-1 receptor genes are mothballed in GHrKO mice, this would provide a complete explanation of the Laron insulin sensitivity effect and the rest of this post is irrelevant. Just in-case it's not so, here is the rest of the post. It is very, very speculative. And might be wrong:
There is just one paper which suggests that setting up a near-complete cessation of IGF-1 exposure, with normal IGF-1 receptor genes still present, at around 10 days of age (mice again) has a long term effect to enhance insulin receptor gene expression. To emphasise: these mice have the IGF-1 receptor gene (so they should be making IGF-1 receptors), just minimal IGF-1 exposure, rather like the Laron mice. Inducing this state very early in life appears to be key for sensitising to insulin signalling.
IGF-1 Regulates Vertebral Bone Aging Through Sex-Specific and Time-Dependent Mechanisms
"Within 3 months of a loss of IGF-1, there was a 2.2-fold increase in insulin receptor expression within the vertebral bones of our female mice, suggesting that local signaling may compensate for the loss of circulating IGF-1".
The ad hoc hypothesis in this last paper is that insulin signalling increases to meet metabolic needs, despite there still being IFG-1 receptors present to potentially interfere with insulin receptor function. This is the suggestion that makes me think that total loss of IGF-1 signalling, with genetically preserved IGF-1 receptor genes (but which no longer get expressed), might underlie the Laron GHrKO mouse insulin sensitivity effect. It's not just in adipose tissue, it's whole body. Everything becomes insulin sensitive and the level of insulin needed to maintain normoglycaemia plummets. Low insulin signalling = long life.
You then have to ask why this might happen if we are looking for a metabolic effect in excess of insulin receptor function modification.
IGF-1, in addition to it's anabolic role, also facilitates glucose ingress, much as insulin does. We know that this is the case from a number of studies including those involving humans with defective insulin receptors (Donohue Syndrome or Leprechaunism) or in severe lipodystrophy (such as Berardeinelli-Seip Syndrome) where IGF-1 facilitates glucose uptake clinically. This would allow tonic insulin-independent uptake of glucose to generate NADH for activation of the glycerophosphate shuttle (mtG3Pdh) and set bias for reducing the CoQ couple.
Overlaid above this we have genuine insulin signalling, used to facilitate closely controlled caloric ingress and glycolytic NADH generation for CoQ couple reduction. Only small amounts of insulin would be needed in excess of IGF-1 delivered glucose to allow enough extra ingress to instigate insulin signalling. Under caloric excess smaller than anticipated amounts of insulin would be need to induce insulin resistance promptly because there is the background IGF-1 facilitated glucose ingress.
Without the tonic IGF-1 facilitated glucose supply all glucose would have to come via insulin signalling. Insulin would find each cell calorically "emptier" of glucose than it would be had IGF-1 been signalling. With an enhanced extracellular to intracellular glucose gradient more glucose should enter the cell per GLUT4 translocated. In the post prandial state all glucose entry would be via insulin alone. There would be much less need to activate insulin-induced insulin resistance, or at least it would be significantly delayed, in the process of controlling caloric ingress. Much of the time insulin could be allowed to signal and that signalling would still merely supply cellular needs without needing to induce any insulin resistance for negative feedback.
You could describe the whole body lack of an IGF-1 background glucose supply as making all cells chronically "hungry", so improving both insulin signalling and glucose ingress per unit insulin signalling enacted.
This apparent chronic hunger due to lack of IGF-1 signalling might be where the longevity effect come from and might be why genuine caloric restriction of GHrKO mice does not add to their already considerable lifespan.
That's how it looks to me.
I'd sort of hoped that would be it for this thread but certain adipocyte transplant studies keep niggling at the back of my mind. I'm trying to ignore them.
Peter
Here are those IGF-1 receptor disruption/deletion studies:
Down-regulation of Type I Insulin-like Growth Factor Receptor Increases Sensitivity of Breast Cancer Cells to Insulin
"We used small interfering RNA (siRNA) to specifically target down- regulation of IGF1R and found that IGF1R was efficiently suppressed without affecting IR expression. However, IGF1R down-regulation by siRNA sensitized cells to insulin. Our results suggest that specific targeting of IGF1R alone enhances insulin signaling, which may be an undesirable effect in breast cancer cells".
Disruption of the Insulin-like Growth Factor Type 1 Receptor in Osteoblasts Enhances Insulin Signaling and Action
"A striking observation from our studies was the increase in insulin responsivity in osteoblasts following deletion of the IGF-1R".
Insulin Receptor (IR) Pathway Hyperactivity in IGF-IR Null Cells and Suppression of Downstream Growth Signaling Using the Dual IGF-IR/IR Inhibitor, BMS-754807
"The insulin receptor (IR) pathway in IGF-IR null MEFs was hypersensitive to insulin ligand stimulation resulting in greater AKT phosphorylation than in wt or het MEFs stimulated with the same ligand".
Differential Roles of the Insulin and Insulin-like Growth Factor-I (IGF-I) Receptors in Response to Insulin and IGF-I
"In IGFRKO cells, insulin-induced phosphorylation of IRS-1 was enhanced, suggesting that IGFR may actually inhibit IR signaling to some extent".
Laron mice (GHrKO) are the longest lifespan mice ever engineered by humans. They are dwarf and obese and the obesity tends to be central. They have exquisitely low blood insulin levels and it is thought that the reduced signalling through the GH/IGF-1/insulin system is responsible for their longevity. Adding GHrKO adipocytes to the abdomen of normal mice improves their glucose tolerance significantly.
The role of transplanted visceral fat from the long-lived growth hormone receptor knockout mice on insulin signaling
N-S mice are normal mice with a sham implantation which adds no extra adipose tissue, N-N are normal mice receiving extra intra-abdominal adipose tissue from normal mice (these should really have had some enhanced glucose tolerance but all of these transplant models differ slightly in technique) and in this case the GTT was done at about eight days post op, ie there may well have been a lot of healing derived IL-6 visiting the liver. The N-GHrKO mice are Bl/6 mice which have received adiopcytes from GHrKO dwarves, shown as black squares:
The GHrKO adipocytes are clearly a bit more effective than the normal eWAT adipocytes from the last post. Personally, I was surprised at how relatively small the enhancement of the glucose tolerance was, but then there is always that IL-6 to overcome, so perhaps they really are Super Adipocytes.
GHrKO mice develop extremely elevated GH levels, probably through a total lack of IGF-1 negative feedback, but this GH does nothing. Without a receptor the GH, functionally, isn't there. The lack of GH induced lipolysis pushes the balance of adipocyte size towards the obese phenotype. It seems to affect pretty well all adipose depots fairly equally. If we then go on to look at adipose specific FaGHrKO mice, these are obese too but lack any of the insulin sensitising effects of the whole body GHrKO mice:
The Role of GH in Adipose Tissue: Lessons from Adipose-Specific GH Receptor Gene-Disrupted Mice
"Surprisingly, FaGHRKOs shared only a few characteristics with global GHR−/− mice. Like the GHR−/− mice, FaGHRKO mice are obese with increased total body fat and increased adipocyte size. However, FaGHRKO mice have increases in all adipose depots with no improvements in measures of glucose homeostasis".
My assumption that lack it is the of growth hormone signalling in adipocytes which promotes obesity may not be the whole explanation. It is also true that these FaGHrKO adipocytes, which are possibly very insulin sensitive, are working in a mouse with normal insulin signalling outside of those KO adipocytes. This means that the mice will have normal levels of systemic insulin sensitivity/resistance. Putting calories anywhere other than their special adipocytes will have the potential to induce insulin resistance and any increase in insulin to deal with this will undoubtedly put more triglyceride in to the insulin hyper-sensitive FaGHrKO adipocytes.
So much for GH.
The second effect in whole body GHrKO mice is that there is essentially no IGF-1 produced either by the liver or as a local tissue hormone in response the "invisible" GH. This is not the case in FaGHrKO mice, their adipocytes may never see GH but they see plenty of IGF-1 which is coming from the perfectly normal GH sensitive liver of the recipient mouse. So is it a lack of IGF-1 signalling which underlies the insulin sensitising effect of GHrKO mice?
"Maybe" is the definitive answer and "probably" the more borderline answer... I guess "dunno" still has to rate pretty well too.
If you disrupt the IGF-1 receptor of cell lines in tissue culture post-developmentally (using siRNAs) or if you study genetically IGF-1 knockout foetal derived fibroblasts, they all show marked increases in insulin signalling, which is inducible by the siRNAs when these are used. I've stuck the studies down at the end of the post. Note that none of the studies used adipocytes, but the effect appears generic to pretty well all cell lines tested.
Now, this is either receptor suppression or a receptor absence being used to generate this effect in all of the studies I've found. It has nothing to do with IGF-1 signalling, ie it's not a metabolic effect, it mostly seems to be that IGF-1 receptors associate with insulin receptors and stop them working as well as they can do. So it doesn't appear a loss of ligand induced signalling effect (though obviously there is no signalling if there is no receptor), it's the physical lack of IGF-1 receptors which causes the effect. Clearly GHrKO mice do have IGF-1 receptors, they just never manufacture any IGF-1 to stimulate them. Do these unused receptors have the effect of suppressing long term insulin signalling? I suppose it is possible that permanent, lifelong, severe elimination of all IGF-1 exposure might actually down-regulate IGF-1 receptor gene expression, so allow insulin receptors to work more effectively. We'd need an IGF-1 receptor count to be done on some true GHrKO Laron mice to find out if this is the case. The study hasn't been done that I can find but, if IGF-1 receptor genes are mothballed in GHrKO mice, this would provide a complete explanation of the Laron insulin sensitivity effect and the rest of this post is irrelevant. Just in-case it's not so, here is the rest of the post. It is very, very speculative. And might be wrong:
There is just one paper which suggests that setting up a near-complete cessation of IGF-1 exposure, with normal IGF-1 receptor genes still present, at around 10 days of age (mice again) has a long term effect to enhance insulin receptor gene expression. To emphasise: these mice have the IGF-1 receptor gene (so they should be making IGF-1 receptors), just minimal IGF-1 exposure, rather like the Laron mice. Inducing this state very early in life appears to be key for sensitising to insulin signalling.
IGF-1 Regulates Vertebral Bone Aging Through Sex-Specific and Time-Dependent Mechanisms
"Within 3 months of a loss of IGF-1, there was a 2.2-fold increase in insulin receptor expression within the vertebral bones of our female mice, suggesting that local signaling may compensate for the loss of circulating IGF-1".
The ad hoc hypothesis in this last paper is that insulin signalling increases to meet metabolic needs, despite there still being IFG-1 receptors present to potentially interfere with insulin receptor function. This is the suggestion that makes me think that total loss of IGF-1 signalling, with genetically preserved IGF-1 receptor genes (but which no longer get expressed), might underlie the Laron GHrKO mouse insulin sensitivity effect. It's not just in adipose tissue, it's whole body. Everything becomes insulin sensitive and the level of insulin needed to maintain normoglycaemia plummets. Low insulin signalling = long life.
You then have to ask why this might happen if we are looking for a metabolic effect in excess of insulin receptor function modification.
IGF-1, in addition to it's anabolic role, also facilitates glucose ingress, much as insulin does. We know that this is the case from a number of studies including those involving humans with defective insulin receptors (Donohue Syndrome or Leprechaunism) or in severe lipodystrophy (such as Berardeinelli-Seip Syndrome) where IGF-1 facilitates glucose uptake clinically. This would allow tonic insulin-independent uptake of glucose to generate NADH for activation of the glycerophosphate shuttle (mtG3Pdh) and set bias for reducing the CoQ couple.
Overlaid above this we have genuine insulin signalling, used to facilitate closely controlled caloric ingress and glycolytic NADH generation for CoQ couple reduction. Only small amounts of insulin would be needed in excess of IGF-1 delivered glucose to allow enough extra ingress to instigate insulin signalling. Under caloric excess smaller than anticipated amounts of insulin would be need to induce insulin resistance promptly because there is the background IGF-1 facilitated glucose ingress.
Without the tonic IGF-1 facilitated glucose supply all glucose would have to come via insulin signalling. Insulin would find each cell calorically "emptier" of glucose than it would be had IGF-1 been signalling. With an enhanced extracellular to intracellular glucose gradient more glucose should enter the cell per GLUT4 translocated. In the post prandial state all glucose entry would be via insulin alone. There would be much less need to activate insulin-induced insulin resistance, or at least it would be significantly delayed, in the process of controlling caloric ingress. Much of the time insulin could be allowed to signal and that signalling would still merely supply cellular needs without needing to induce any insulin resistance for negative feedback.
You could describe the whole body lack of an IGF-1 background glucose supply as making all cells chronically "hungry", so improving both insulin signalling and glucose ingress per unit insulin signalling enacted.
This apparent chronic hunger due to lack of IGF-1 signalling might be where the longevity effect come from and might be why genuine caloric restriction of GHrKO mice does not add to their already considerable lifespan.
That's how it looks to me.
I'd sort of hoped that would be it for this thread but certain adipocyte transplant studies keep niggling at the back of my mind. I'm trying to ignore them.
Peter
Here are those IGF-1 receptor disruption/deletion studies:
Down-regulation of Type I Insulin-like Growth Factor Receptor Increases Sensitivity of Breast Cancer Cells to Insulin
"We used small interfering RNA (siRNA) to specifically target down- regulation of IGF1R and found that IGF1R was efficiently suppressed without affecting IR expression. However, IGF1R down-regulation by siRNA sensitized cells to insulin. Our results suggest that specific targeting of IGF1R alone enhances insulin signaling, which may be an undesirable effect in breast cancer cells".
Disruption of the Insulin-like Growth Factor Type 1 Receptor in Osteoblasts Enhances Insulin Signaling and Action
"A striking observation from our studies was the increase in insulin responsivity in osteoblasts following deletion of the IGF-1R".
Insulin Receptor (IR) Pathway Hyperactivity in IGF-IR Null Cells and Suppression of Downstream Growth Signaling Using the Dual IGF-IR/IR Inhibitor, BMS-754807
"The insulin receptor (IR) pathway in IGF-IR null MEFs was hypersensitive to insulin ligand stimulation resulting in greater AKT phosphorylation than in wt or het MEFs stimulated with the same ligand".
Differential Roles of the Insulin and Insulin-like Growth Factor-I (IGF-I) Receptors in Response to Insulin and IGF-I
"In IGFRKO cells, insulin-induced phosphorylation of IRS-1 was enhanced, suggesting that IGFR may actually inhibit IR signaling to some extent".
Sunday, March 11, 2018
On phosphorylating AKT: the penultimate half post
I'm going to use some of Konrad's data to try and understand Kahn's data and the see if it will extrapolate to growth hormone receptor knockout (GHrKO) adipoctes. That's the plan. Time will tell... I'm going to use the term eWAT for epididymal adipose tissue.
There are three curves here from Konrad.
The open circles are mice with extra eWAT carefully added to a mesenteric (liver draining) site only. The eWAT is inflamed, leaking IL-6 and this goes directly to the liver. This IL-6 is causing hepatic insulin resistance with glucose intolerance, as per the last post. There is no elevation of portal FFAs after a three hour fast (not surprising when you recall that you need seriously low insulin levels to access visceral fat, three hours won't hack it). So we can ignore the open circles.
The black circles are the controls.
The grey circles are mice with eWAT (this is normal eWAT from normal sacrificed Bl/6 mice) added to the peritoneum with all of its venous drainage going to the systemic circulation. This too is leaking IL-6 but by the time it's diluted throughout the whole systemic circulation it causes no insulin resistance. Result: adding eWAT without hitting the liver with IL-6 simply provides extra adipocytes, they accept glucose, glucose tolerance test results improve. This is a generic effect of adding extra adipose tissue, it doesn't seem to matter what the source of adipose tissue is or where you put it, so long as it isn't trickling IL-6 in to the liver, any extra fat improves glucose tolerance. Think thiazolidines, more new fat cells, they're empty, glucose tolerance improves as the cells fill up.
Here is a graph from Kahn; the effect of extra fat, when it isn't dumping IL-6 directly to the liver, is always to improve insulin sensitivity, even adding eWAT to mesentery, here called VIS-VIS:
Clearly only subcuticular fat transplanted to the mesenteric site reaches statistical significant (SC-VIS). But you can see the trend...
This is the exact converse of the diabetes of lipodystrophy cases: in lipodydtrophy there is no adipose anywhere, nowhere to put glucose/fatty acids, all stored triglyceride is ectopic, so your end result is severe glucose intolerance.
Now to look at basal lipolysis from Masternak and Bartke's group. This is an in-vitro measurement, performed on aliquots of adipose tissue in Dulbecco’s modified Eagle medium with or without 10% FBS (foetal bovine serum) where they started looking at lipolysis from GHrKO adipocytes, harvested from congenitally Laron dwarf mice. I'm guessing the 10% FBS made no difference because this is the only figure we get in the supplemental data:
Now, you have to be very careful with this data. Basal lipolysis is not the same as lipolysis under fasting levels of insulin. Basal lipolysis would produce a ketoacidotic fatality because no insulin is obviously the equivalent of severe T1DM and is rapidly fatal without a very expensive trip to A and E (unless you have the NHS). Next we have the problem that this lipolysis measurement is made per gram of tissue, but in the whole animal some tissue depots are bigger than others as a % of bodyweight and all GHrKO mice are obese, so they have much more fat to provide FFAs per unit muscle etc. The approximate total fat mass of a GHrKO dwarf mouse is actually very similar to that of a normal Bl/6 mouse, it's only the fat free mass which is small. So glycerol release per gram of adipose tissue may be lower in the dwarf mice, but total lipolysis might be very similar to Bl/6 mice. Merely adding basal insulin would produce a normal, hungry mouse but we have no idea what the rates of lipolysis would be then and if they might change more in some tissues than others. So a little caution, to say the least, is needed.
With that said I was going to go on to say all sorts of things about lipolysis but at this point the penny dropped, as we say in the UK. I've stopped following the trail and I think I know why GHrKO mice are the longest living mice ever engineered. Perhaps I should put that in to a final post in the series.
Peter
There are three curves here from Konrad.
The open circles are mice with extra eWAT carefully added to a mesenteric (liver draining) site only. The eWAT is inflamed, leaking IL-6 and this goes directly to the liver. This IL-6 is causing hepatic insulin resistance with glucose intolerance, as per the last post. There is no elevation of portal FFAs after a three hour fast (not surprising when you recall that you need seriously low insulin levels to access visceral fat, three hours won't hack it). So we can ignore the open circles.
The black circles are the controls.
The grey circles are mice with eWAT (this is normal eWAT from normal sacrificed Bl/6 mice) added to the peritoneum with all of its venous drainage going to the systemic circulation. This too is leaking IL-6 but by the time it's diluted throughout the whole systemic circulation it causes no insulin resistance. Result: adding eWAT without hitting the liver with IL-6 simply provides extra adipocytes, they accept glucose, glucose tolerance test results improve. This is a generic effect of adding extra adipose tissue, it doesn't seem to matter what the source of adipose tissue is or where you put it, so long as it isn't trickling IL-6 in to the liver, any extra fat improves glucose tolerance. Think thiazolidines, more new fat cells, they're empty, glucose tolerance improves as the cells fill up.
Here is a graph from Kahn; the effect of extra fat, when it isn't dumping IL-6 directly to the liver, is always to improve insulin sensitivity, even adding eWAT to mesentery, here called VIS-VIS:
Clearly only subcuticular fat transplanted to the mesenteric site reaches statistical significant (SC-VIS). But you can see the trend...
This is the exact converse of the diabetes of lipodystrophy cases: in lipodydtrophy there is no adipose anywhere, nowhere to put glucose/fatty acids, all stored triglyceride is ectopic, so your end result is severe glucose intolerance.
Now to look at basal lipolysis from Masternak and Bartke's group. This is an in-vitro measurement, performed on aliquots of adipose tissue in Dulbecco’s modified Eagle medium with or without 10% FBS (foetal bovine serum) where they started looking at lipolysis from GHrKO adipocytes, harvested from congenitally Laron dwarf mice. I'm guessing the 10% FBS made no difference because this is the only figure we get in the supplemental data:
Now, you have to be very careful with this data. Basal lipolysis is not the same as lipolysis under fasting levels of insulin. Basal lipolysis would produce a ketoacidotic fatality because no insulin is obviously the equivalent of severe T1DM and is rapidly fatal without a very expensive trip to A and E (unless you have the NHS). Next we have the problem that this lipolysis measurement is made per gram of tissue, but in the whole animal some tissue depots are bigger than others as a % of bodyweight and all GHrKO mice are obese, so they have much more fat to provide FFAs per unit muscle etc. The approximate total fat mass of a GHrKO dwarf mouse is actually very similar to that of a normal Bl/6 mouse, it's only the fat free mass which is small. So glycerol release per gram of adipose tissue may be lower in the dwarf mice, but total lipolysis might be very similar to Bl/6 mice. Merely adding basal insulin would produce a normal, hungry mouse but we have no idea what the rates of lipolysis would be then and if they might change more in some tissues than others. So a little caution, to say the least, is needed.
With that said I was going to go on to say all sorts of things about lipolysis but at this point the penny dropped, as we say in the UK. I've stopped following the trail and I think I know why GHrKO mice are the longest living mice ever engineered. Perhaps I should put that in to a final post in the series.
Peter
Thursday, March 08, 2018
On phosphorylating AKT: Interleukin-6 and a tale of two (or three) studies
I've spent the last few days looking in great detail at this next paper. Mostly I'm interested in the effect of subcutaneous fat transplanted to the omentum/mesentery. It does Good Things, the title says it all. I'll probably post more about it soon:
Beneficial Effects of Subcutaneous Fat Transplantation on Metabolism
Even transplanting supplemetary monstrousvisceralfat to the omentum/mesentery of recipient mice improves their insulin sensitivity (admittedly ns). I like this research group. They are reporting data and don't seem to have a specific point they are trying to prove. The down side is that I think their CLAMS equipment, core to understanding certain aspects, didn't work very well. You can tell they feel the same way by the turns of phrase they use to describe some of their utterly inexplicable peripheral data like RQs. I'll call it the Kahn paper.
This next paper has Konrad as senior author. He has an agenda. Just click on the author to see his other publications. He knows monstrousvisceralfat is evil. He just needs the correct model to show this. This one hit paydirt:
The Portal Theory Supported by Venous Drainage–Selective Fat Transplantation
OK, let's compare.
Kahn's group transplanted epididymal fat in to the mesentery and omentum of recipient mice, this drains to the liver directly. By their surgical technique some of this fat will have also had systemic drainage. They waited for 12 weeks. They then ran an hyperinsulinaemic euglycaemic clamp. There was a modest (ns) improvement in insulin sensitivity. They checked the histology for macrophages, there were a few. They checked these for IL-6 production, it was minimal. Happy fat, happy mice, no hepatic insulin resistance.
Konrad's group also transplanted epididymal fat in to the mesentery of recipient mice. They waited for five weeks then did a clamp and showed marked hepatic insulin resistance. There was no increase in portal FFAs or liver triglycerides. They stained the fat for macrophages. There were loads. They checked for IL-6 production. There was loads. They did it all again but with IL-6 knockout mice. Minimal macrophages in the adipose tissue, obviously no IL-6, no insulin resistance in the liver.
To Konrad it's cut and dried. Visceral adipocytes cause hepatic insulin resistance using IL-6.
Kahn's group check for this and found nothing of the sort. What's going on?
It took me about 12 seconds on google to pull up this abstract. It's not terribly important but does bring home the functions of IL-6, there are many:
Essential involvement of IL-6 in the skin wound-healing process as evidenced by delayed wound healing in IL-6-deficient mice
IL-6 is deeply involved in wound healing. Obviously IL-6 does cause insulin resistance, we know from Konrad's study. And we know that all of Konrad's implants were inflamed and secreting IL-6 at the end of the study, five weeks after the surgery. Was that because visceral adipocytes are just evil and want to kill us with IL-6 or is it because the healing process after transplantation uses IL-6 and is incomplete at five weeks? What if they had waited another whole seven weeks before testing at 12weeks?
In Kahn's paper the beneficial effect of adipose transplantation showed best for SC fat placed in the mesentery/omentum. The benefits started to show in bodyweight and fat percentage at eight weeks and were more obvious at 12 weeks post op. The hyperinsulinaemic clamp at 12 weeks showed insulin sensitivity was improved, p less than 0.05 in this group. The visceral to mesenteric transplants were similar but not as marked, mostly p stayed above 0.05.
Kahn's paper was 2008. Konrad's was 2011. Who to believe? Who might have read whom and worked out a counter study? Perhaps the matter has now been pretty well settled by the surgeons mentioned in the last post (Oregon excepted)?
I think it is quite likely that over-distended adipocytes do produce IL-6. But you're not going to show this in normal mice eating normal chow.
Clinical aside. If a case with pancreatitis, underlying an acute abdomen, ends up as an ex-lap, you get to see the state of the omentum and mesenteric fat under necrotising pancreatitis conditions. It's not pretty. In view of IL-6 and insulin resistance it should come as no surprise that acute pancreatitis is associated with diabetes, which resolves as the pancreatitis does, assuming a good outcome. Not always, but it's well recognised. I think IL-6 as a cause of hepatic insulin resistance is very real. I also think it is total artefact in Konrad's paper but, if it could be made to happen as a direct result of severe obesity (about which we have no idea from Konrad's paper), I might consider it to be a messenger. Looks like this hadn't happened in the morbidly obese folks going under the knife.
I found a mini-review by that one group of successful omentectomy surgeons in Oregon, listing all of the omentectomy studies which have failed to improve insulin sensitivity (no explanation was offered), in which there is actually one very small study mentioned in which an omentectomy only was performed, removing just under a kilo of omental fat on average. That's a lot of omental fat in my book. Not only that, but the subjects were all obese and diabetic. I mean, visceral fat, hepatically drained, distended adipocytes, insulin resistance. How could an omentectomy fail? Spectacularly is the word and the authors say so point blank. I'd already decided I like these omentectomy-only surgeons before I found that three of them are part of Atkins Center of Excellence in Obesity Medicine. They might just share my biases!
Peter
Anyone wanting that last paper, it's here:
Surgical removal of omental fat does not improve insulin sensitivity and cardiovascular risk factors in obese adults
I particularly like the rise in HbA1c, statistically ns but clinically perhaps so...
Beneficial Effects of Subcutaneous Fat Transplantation on Metabolism
Even transplanting supplemetary monstrousvisceralfat to the omentum/mesentery of recipient mice improves their insulin sensitivity (admittedly ns). I like this research group. They are reporting data and don't seem to have a specific point they are trying to prove. The down side is that I think their CLAMS equipment, core to understanding certain aspects, didn't work very well. You can tell they feel the same way by the turns of phrase they use to describe some of their utterly inexplicable peripheral data like RQs. I'll call it the Kahn paper.
This next paper has Konrad as senior author. He has an agenda. Just click on the author to see his other publications. He knows monstrousvisceralfat is evil. He just needs the correct model to show this. This one hit paydirt:
The Portal Theory Supported by Venous Drainage–Selective Fat Transplantation
OK, let's compare.
Kahn's group transplanted epididymal fat in to the mesentery and omentum of recipient mice, this drains to the liver directly. By their surgical technique some of this fat will have also had systemic drainage. They waited for 12 weeks. They then ran an hyperinsulinaemic euglycaemic clamp. There was a modest (ns) improvement in insulin sensitivity. They checked the histology for macrophages, there were a few. They checked these for IL-6 production, it was minimal. Happy fat, happy mice, no hepatic insulin resistance.
Konrad's group also transplanted epididymal fat in to the mesentery of recipient mice. They waited for five weeks then did a clamp and showed marked hepatic insulin resistance. There was no increase in portal FFAs or liver triglycerides. They stained the fat for macrophages. There were loads. They checked for IL-6 production. There was loads. They did it all again but with IL-6 knockout mice. Minimal macrophages in the adipose tissue, obviously no IL-6, no insulin resistance in the liver.
To Konrad it's cut and dried. Visceral adipocytes cause hepatic insulin resistance using IL-6.
Kahn's group check for this and found nothing of the sort. What's going on?
It took me about 12 seconds on google to pull up this abstract. It's not terribly important but does bring home the functions of IL-6, there are many:
Essential involvement of IL-6 in the skin wound-healing process as evidenced by delayed wound healing in IL-6-deficient mice
IL-6 is deeply involved in wound healing. Obviously IL-6 does cause insulin resistance, we know from Konrad's study. And we know that all of Konrad's implants were inflamed and secreting IL-6 at the end of the study, five weeks after the surgery. Was that because visceral adipocytes are just evil and want to kill us with IL-6 or is it because the healing process after transplantation uses IL-6 and is incomplete at five weeks? What if they had waited another whole seven weeks before testing at 12weeks?
In Kahn's paper the beneficial effect of adipose transplantation showed best for SC fat placed in the mesentery/omentum. The benefits started to show in bodyweight and fat percentage at eight weeks and were more obvious at 12 weeks post op. The hyperinsulinaemic clamp at 12 weeks showed insulin sensitivity was improved, p less than 0.05 in this group. The visceral to mesenteric transplants were similar but not as marked, mostly p stayed above 0.05.
Kahn's paper was 2008. Konrad's was 2011. Who to believe? Who might have read whom and worked out a counter study? Perhaps the matter has now been pretty well settled by the surgeons mentioned in the last post (Oregon excepted)?
I think it is quite likely that over-distended adipocytes do produce IL-6. But you're not going to show this in normal mice eating normal chow.
Clinical aside. If a case with pancreatitis, underlying an acute abdomen, ends up as an ex-lap, you get to see the state of the omentum and mesenteric fat under necrotising pancreatitis conditions. It's not pretty. In view of IL-6 and insulin resistance it should come as no surprise that acute pancreatitis is associated with diabetes, which resolves as the pancreatitis does, assuming a good outcome. Not always, but it's well recognised. I think IL-6 as a cause of hepatic insulin resistance is very real. I also think it is total artefact in Konrad's paper but, if it could be made to happen as a direct result of severe obesity (about which we have no idea from Konrad's paper), I might consider it to be a messenger. Looks like this hadn't happened in the morbidly obese folks going under the knife.
I found a mini-review by that one group of successful omentectomy surgeons in Oregon, listing all of the omentectomy studies which have failed to improve insulin sensitivity (no explanation was offered), in which there is actually one very small study mentioned in which an omentectomy only was performed, removing just under a kilo of omental fat on average. That's a lot of omental fat in my book. Not only that, but the subjects were all obese and diabetic. I mean, visceral fat, hepatically drained, distended adipocytes, insulin resistance. How could an omentectomy fail? Spectacularly is the word and the authors say so point blank. I'd already decided I like these omentectomy-only surgeons before I found that three of them are part of Atkins Center of Excellence in Obesity Medicine. They might just share my biases!
Peter
Anyone wanting that last paper, it's here:
Surgical removal of omental fat does not improve insulin sensitivity and cardiovascular risk factors in obese adults
I particularly like the rise in HbA1c, statistically ns but clinically perhaps so...
Sunday, March 04, 2018
On phosphorylation of AKT in real, live humans. They're just like mice!
This first paper is very neat. They enrolled study subjects who were scheduled for an elective laparotomy and persuaded them to consent to an IV bolus of insulin during surgery and to allow biopsies of SC fat and omental fat to be taken at the 6 minute mark and at the 30 minute mark after this bolus. They were given some IV glucose to keep them alive after the insulin. Omental fat is possibly the most visceral of visceral fat depots, probably similar to mesenteric fat. Here's the paper:
Insulin Signaling in Human Visceral and Subcutaneous Adipose Tissue In Vivo
This is what they found. The black squares are the omental fat:
The x axis is non linear. Insulin signaling kicks in much faster in visceral adipocytes and is more effective at activating the whole signaling cascade (phosphorylation of AKT included) than it is in subcutaneous adipocytes. As the authors comment:
"We show that visceral fat is characterized by higher expression levels of specific insulin signaling proteins and more pronounced and earlier activation of the insulin receptor, Akt, glycogen synthase kinase (GSK)-3, and ERK-1/2 in response to insulin".
EDIT: Just look at those basal relative IR phosphorylation levels, visceral adipocytes have four times the insulin signaling as subcutaneous adipocytes after an overnight pre-surgical fast. I love this paper. END EDIT.
I think that it is unarguable that visceral adipocytes are more insulin sensitive than subcutaneous adipocytes.
Just to confirm that bias, this next paper is looking at glucose uptake in volunteers, using all sorts of clever non-invasive techniques. And some of those volunteers were obese. I think it's very clear that visceral fat, under hyperinsulinaemic euglycaemic clamp conditions, is more insulin sensitive than subcutaneous fat. Any visceral fat, any subcutaneous fat, any bodyweight of owner. From this paper
Glucose uptake and perfusion in subcutaneous and visceral adipose tissue during insulin stimulation in nonobese and obese humans
we have this:

First and 4th pairs of columns are SC adipose tissue, 2nd and 3rd are visceral. Even in obese subjects the glucose uptake by visceral fat, under clamp conditions, is higher than in SC adipose tissue. Lots of significant p values.
Now the flip side, rather more speculative here: let's revisit this paper from several years ago, looking at healthy humans under hypoinsulinaemic states:
Prolonged Fasting Identifies Skeletal Muscle Mitochondrial Dysfunction as Consequence Rather Than Cause of Human Insulin Resistance
Ignore the mindset of the researchers, just look at their data:
In a normally fed Dutchman the fasting FFAs are around 0.2mmol/l at some time in the morning. This is the amount of FFAs being released under a plasma insulin of about 13.0microU/ml. At this level of insulin I very much doubt if any of these FFAs are coming from visceral adipocytes because insulin is still too high for this. This a workaday "ready for breakfast" sort of a combination of FFAs and insulin. I think it is very reasonable to consider that these FFAs are coming primarily from the subcutaneous adipose stores.
By 36 hours of fasting insulin has dropped to around 7.0microU/ml and it stays there. At this level of insulin we have FFAs rising through 1.0mmol/l to 2.0mmol/l, that's very high. Insulin is now very low, low enough for visceral fat to release a lot of FFAs and the body is set up to run on fat and ketones. It could do with some hepatic insulin resistance to facilitate hepatic glucose output and the specifically portal vein draining fat depots (omental and mesenteric) are set up to do exactly this. Evolution has punished, by non survival, individuals who failed to follow this pattern.
I think it is a pretty sound case that visceral fat does very little, other than hoover up a few calories, while ever insulin is above 12microU/ml. In the USA insulin probably never falls below this level. If you have to get up at 2am for a few bagels, doughnuts or a bucket of (low fat/high sugar) ice cream your body will forget what an insulin of 12microU/ml ever felt like.
Visceral fat is a surrogate for chronic hyperinsulinaemia. It will be associated with metabolic syndrome because hyperinsulinaemia, not visceral fat, is metabolic syndrome. Given that nice, clear cut, pretty water tight case, what should a bariatric surgeon do about omental fat?
Why not chop it out? I mean its full of fat. All people who have metabolic syndrome have tons of the stuff. Really, it has to be the root of all evil. You know, fat... But:
Hepatic and Peripheral Insulin Sensitivity and Diabetes Remission at 1 Month After Roux-en-Y Gastric Bypass Surgery in Patients Randomized to Omentectomy
"Peripheral insulin sensitivity did not improve 1 month after RYGB, irrespective of omentectomy, diabetes, or diabetes remission. Hepatic insulin sensitivity improved at 1 month after RYGB and was more pronounced in patients with diabetes..." [but not associated with omentectomy, my addition]
Potential Additional Effect of Omentectomy on Metabolic Syndrome, Acute-Phase Reactants, and Inflammatory Mediators in Grade III Obese Patients Undergoing Laparoscopic Roux-en-Y Gastric Bypass
"Omentectomy does not have an ancillary short-term significant impact on the components of metabolic syndrome and does not induce important changes in the inflammatory mediators in patients undergoing LRYGB. Operative time is more prolonged when omentectomy is performed".
A prospective randomized study comparing patients with morbid obesity submitted to sleeve gastrectomy with or without omentectomy
"The theoretical advantages of omentectomy in regard to weight loss and obesity-related abnormalities are not confirmed in this prospective study. Furthermore, omentectomy does not induce important changes in the inflammatory status in patients undergoing SG".
These people got paydirt:
Omentectomy added to Roux-en-Y gastric bypass surgery: A randomized, controlled trial
"Omentectomy added to a LRYGB results in favorable changes in glucose homeostasis, lipid levels, and adipokine profile at 90-days"
Insulin Signaling in Human Visceral and Subcutaneous Adipose Tissue In Vivo
This is what they found. The black squares are the omental fat:
The x axis is non linear. Insulin signaling kicks in much faster in visceral adipocytes and is more effective at activating the whole signaling cascade (phosphorylation of AKT included) than it is in subcutaneous adipocytes. As the authors comment:
"We show that visceral fat is characterized by higher expression levels of specific insulin signaling proteins and more pronounced and earlier activation of the insulin receptor, Akt, glycogen synthase kinase (GSK)-3, and ERK-1/2 in response to insulin".
EDIT: Just look at those basal relative IR phosphorylation levels, visceral adipocytes have four times the insulin signaling as subcutaneous adipocytes after an overnight pre-surgical fast. I love this paper. END EDIT.
I think that it is unarguable that visceral adipocytes are more insulin sensitive than subcutaneous adipocytes.
Just to confirm that bias, this next paper is looking at glucose uptake in volunteers, using all sorts of clever non-invasive techniques. And some of those volunteers were obese. I think it's very clear that visceral fat, under hyperinsulinaemic euglycaemic clamp conditions, is more insulin sensitive than subcutaneous fat. Any visceral fat, any subcutaneous fat, any bodyweight of owner. From this paper
Glucose uptake and perfusion in subcutaneous and visceral adipose tissue during insulin stimulation in nonobese and obese humans
we have this:

First and 4th pairs of columns are SC adipose tissue, 2nd and 3rd are visceral. Even in obese subjects the glucose uptake by visceral fat, under clamp conditions, is higher than in SC adipose tissue. Lots of significant p values.
Now the flip side, rather more speculative here: let's revisit this paper from several years ago, looking at healthy humans under hypoinsulinaemic states:
Prolonged Fasting Identifies Skeletal Muscle Mitochondrial Dysfunction as Consequence Rather Than Cause of Human Insulin Resistance
Ignore the mindset of the researchers, just look at their data:
In a normally fed Dutchman the fasting FFAs are around 0.2mmol/l at some time in the morning. This is the amount of FFAs being released under a plasma insulin of about 13.0microU/ml. At this level of insulin I very much doubt if any of these FFAs are coming from visceral adipocytes because insulin is still too high for this. This a workaday "ready for breakfast" sort of a combination of FFAs and insulin. I think it is very reasonable to consider that these FFAs are coming primarily from the subcutaneous adipose stores.
By 36 hours of fasting insulin has dropped to around 7.0microU/ml and it stays there. At this level of insulin we have FFAs rising through 1.0mmol/l to 2.0mmol/l, that's very high. Insulin is now very low, low enough for visceral fat to release a lot of FFAs and the body is set up to run on fat and ketones. It could do with some hepatic insulin resistance to facilitate hepatic glucose output and the specifically portal vein draining fat depots (omental and mesenteric) are set up to do exactly this. Evolution has punished, by non survival, individuals who failed to follow this pattern.
I think it is a pretty sound case that visceral fat does very little, other than hoover up a few calories, while ever insulin is above 12microU/ml. In the USA insulin probably never falls below this level. If you have to get up at 2am for a few bagels, doughnuts or a bucket of (low fat/high sugar) ice cream your body will forget what an insulin of 12microU/ml ever felt like.
Visceral fat is a surrogate for chronic hyperinsulinaemia. It will be associated with metabolic syndrome because hyperinsulinaemia, not visceral fat, is metabolic syndrome. Given that nice, clear cut, pretty water tight case, what should a bariatric surgeon do about omental fat?
Why not chop it out? I mean its full of fat. All people who have metabolic syndrome have tons of the stuff. Really, it has to be the root of all evil. You know, fat... But:
Hepatic and Peripheral Insulin Sensitivity and Diabetes Remission at 1 Month After Roux-en-Y Gastric Bypass Surgery in Patients Randomized to Omentectomy
"Peripheral insulin sensitivity did not improve 1 month after RYGB, irrespective of omentectomy, diabetes, or diabetes remission. Hepatic insulin sensitivity improved at 1 month after RYGB and was more pronounced in patients with diabetes..." [but not associated with omentectomy, my addition]
Potential Additional Effect of Omentectomy on Metabolic Syndrome, Acute-Phase Reactants, and Inflammatory Mediators in Grade III Obese Patients Undergoing Laparoscopic Roux-en-Y Gastric Bypass
"Omentectomy does not have an ancillary short-term significant impact on the components of metabolic syndrome and does not induce important changes in the inflammatory mediators in patients undergoing LRYGB. Operative time is more prolonged when omentectomy is performed".
A prospective randomized study comparing patients with morbid obesity submitted to sleeve gastrectomy with or without omentectomy
"The theoretical advantages of omentectomy in regard to weight loss and obesity-related abnormalities are not confirmed in this prospective study. Furthermore, omentectomy does not induce important changes in the inflammatory status in patients undergoing SG".
These people got paydirt:
Omentectomy added to Roux-en-Y gastric bypass surgery: A randomized, controlled trial
"Omentectomy added to a LRYGB results in favorable changes in glucose homeostasis, lipid levels, and adipokine profile at 90-days"
but the changes were small and didn't look particularly clinically significant to me. But then, I am very biased. Better hope this last group aren't effective medical politicos!
Bottom line: Visceral fat does not cause metabolic syndrome. Association is not causation. Omentectomy is no panacea (no sniggering at the back there) unless you come from Oregon, with apologies to more sensible folks from Oregon.
Peter
Saturday, March 03, 2018
On phosphorylating AKT in visceral adipocytes under starvation
I was hoping to ignore the CR mice in the paper
Differential response to caloric restriction of retroperitoneal, epididymal, and subcutaneous adipose tissue depots in rats
but I don't think I can do it. OK, here we go.
Below are the same images as in the last post showing phosphorylation of AKT as a marker of insulin signalling. The fed CR mice have an insulin level of 1787.84pg/ml, pretty much the same as the fed AL mice (1549.76pg/ml).
Let's look at subcutaneous adipocytes (sWAT) first.
The fed level of plasma insulin is supporting twice the level of insulin signalling in the sWAT from a starving mouse as it is in an ad lib mouse. An adipocyte from a starving mouse is more insulin sensitive than one from a plump mouse. Not unexpected and clearly the adipocytes are small and desperate to have more fat.
In the fasted state the plasma insulin is much lower in the CR mice (224.56pg/ml) vs fasting AL mice (477.25pg/ml) and this low insulin level supports the same degree of signalling in the fasted CR mice as the higher value in the plump but fasted mice. Again CR adipocytes are more insulin sensitive.
Next is the situation in retroperitoneal visceral fat (rWAT). Any value of plasma insulin between the AL fasted of 477.25pg/ml and somewhere around 1500pg/ml of either AL-fed or CR-fed state gives very similar levels of insulin signalling. Maybe a little higher in the recently fed CR mice:
But when we get down to the CR fasting insulin level of 224.56pg/ml we actually have significantly reduced insulin signalling in the visceral adipocytes of starving mice. A drop in insulin signalling is synonymous with increased lipolysis in adipocytes. Accessing visceral fat really does happen, but only at very low insulin levels.
Does this show in fat depot size? Not really. The fall in subcutaneous fat volume is there but the fall in retroperitoneal fat is minimal. Bear in mind these guys are dissecting out very small tissue depots. If you look at the histology/computer image analysis derived values for adipocyte size you can see that the CR visceral adipocytes do really shrink and this might even achieve statistical significance. It's the two columns at the right we're looking at:
Pretty much the same thing happens in the subcutaneous adipocytes but we get no asterisks for the changes here. It's possible the visceral adipocytes might shrink more than the subcutaneous adipocytes, if you are hungry enough:
So I think it is reasonable to assume that lipolysis in visceral adipocytes becomes real at plasma insulin levels somewhere between 477.25pg/ml and 224.56pg/ml. To achieve this in a mouse needs a combination of long term caloric restriction plus total fasting for about 24 hours. At this plasma insulin level it is even possible that their rate of lipolysis exceeds that of subcutaneous adipocytes but that might be stretching the data even further than I have done already. Under normal mouse husbandry conditions visceral adipose tissue is there to stay. It won't release FFAs unless the adipocytes get so large that they leak some FFAs in the presence of insulin signalling.....
OK, I'll try to leave those poor starving mice alone now.
Peter
Differential response to caloric restriction of retroperitoneal, epididymal, and subcutaneous adipose tissue depots in rats
but I don't think I can do it. OK, here we go.
Below are the same images as in the last post showing phosphorylation of AKT as a marker of insulin signalling. The fed CR mice have an insulin level of 1787.84pg/ml, pretty much the same as the fed AL mice (1549.76pg/ml).
Let's look at subcutaneous adipocytes (sWAT) first.
The fed level of plasma insulin is supporting twice the level of insulin signalling in the sWAT from a starving mouse as it is in an ad lib mouse. An adipocyte from a starving mouse is more insulin sensitive than one from a plump mouse. Not unexpected and clearly the adipocytes are small and desperate to have more fat.
In the fasted state the plasma insulin is much lower in the CR mice (224.56pg/ml) vs fasting AL mice (477.25pg/ml) and this low insulin level supports the same degree of signalling in the fasted CR mice as the higher value in the plump but fasted mice. Again CR adipocytes are more insulin sensitive.
Next is the situation in retroperitoneal visceral fat (rWAT). Any value of plasma insulin between the AL fasted of 477.25pg/ml and somewhere around 1500pg/ml of either AL-fed or CR-fed state gives very similar levels of insulin signalling. Maybe a little higher in the recently fed CR mice:
But when we get down to the CR fasting insulin level of 224.56pg/ml we actually have significantly reduced insulin signalling in the visceral adipocytes of starving mice. A drop in insulin signalling is synonymous with increased lipolysis in adipocytes. Accessing visceral fat really does happen, but only at very low insulin levels.
Does this show in fat depot size? Not really. The fall in subcutaneous fat volume is there but the fall in retroperitoneal fat is minimal. Bear in mind these guys are dissecting out very small tissue depots. If you look at the histology/computer image analysis derived values for adipocyte size you can see that the CR visceral adipocytes do really shrink and this might even achieve statistical significance. It's the two columns at the right we're looking at:
Pretty much the same thing happens in the subcutaneous adipocytes but we get no asterisks for the changes here. It's possible the visceral adipocytes might shrink more than the subcutaneous adipocytes, if you are hungry enough:
So I think it is reasonable to assume that lipolysis in visceral adipocytes becomes real at plasma insulin levels somewhere between 477.25pg/ml and 224.56pg/ml. To achieve this in a mouse needs a combination of long term caloric restriction plus total fasting for about 24 hours. At this plasma insulin level it is even possible that their rate of lipolysis exceeds that of subcutaneous adipocytes but that might be stretching the data even further than I have done already. Under normal mouse husbandry conditions visceral adipose tissue is there to stay. It won't release FFAs unless the adipocytes get so large that they leak some FFAs in the presence of insulin signalling.....
OK, I'll try to leave those poor starving mice alone now.
Peter
Friday, March 02, 2018
On phosphorylating AKT within visceral fat
I've been thinking quite a lot about the difference between subcutaneous adipocytes and visceral adipocytes. The difference appears to be much deeper than location, though that matters. The next paper is one of those terribly clever research projects where enormous amounts of information is accumulated but little integration or understanding seems to take place. Here it is:
Differential response to caloric restriction of retroperitoneal, epididymal, and subcutaneous adipose tissue depots in rats
One problem is that they are trying to do too much, so just ignore any of the bits about caloric restriction (CR) which creep in to the butchered graphs. All I'm really interested in is ad-lib (AL in the graphs) fed mice and their adipocytes. I want to know about normal insulin signalling. Here are the fed and fasted insulin levels from those mice. Fed on the left, fasted on the right, part of Table 1:

The dollar signs denote statistical significance (not paydirt). Next are excerpts from Figure 5. I've cropped out the bar graphs showing the pAKT levels from fed and fasted mice. The group is using pAKT as a good marker of insulin signalling. First here's the SC (sWAT) graph:
We only need to look at the AL group. There is a fed insulin of 1549.76pg/ml supporting the reference level of insulin signalling. Next to it we have the fasted level of insulin signalling, somewhere around half reference value. This is being supported by a plasma insulin level of 477.25pg/ml. Simple. More insulin, more pAKT, more insulin signalling. It seems reasonable to consider that the fed insulin level supports lipid storage in subcutaneous adipocytes and that half this level (fasting) might allow lipolysis. We can ignore the CR group.
Here is the same graph from a sample of retroperitoneal adipocytes:
Here we have, again, the level of insulin signalling supported by a fed state plasma insulin of 1549.76pg/ml as reference and just look at the level of insulin signalling being supported by the fasting insulin level of 477.25pg/ml. It's no different to the fed level of signalling. Hmmmmm.
So, theoretically, most of the fat loss under fasting should come from the subcutaneous adipocytes. We need to go back to Table 1 for that:
There we go, the tissue with the least fasting insulin signalling (sWAT) loses over four times as much lipid as the tissue where insulin signalling is maintained at the lower (fasting, 477.25pg/ml) insulin level (rWAT).
This looks very much like one of the intrinsic differences between subcutaneous adipocytes and visceral adipocytes is that visceral adipocytes maintain insulin signalling at much lower levels of plasma insulin than do subcutaneous adipocytes. You have to store calories which arrive without insulin somewhere. Looks like this is the place!
I'm interested in this because I want to know why VLDLs, released from the liver following lipid overload (from fructose DNL, alcohol DNL or inappropriate FFA release from adipocytes under fructose or alcohol) end up in visceral adipocytes. We know these VLDLs are only released under low insulin levels (that was a long time ago!) and this current paper tells me why the VLDL lipids end up in visceral adipocytes. It's not an address technique, it's just that visceral adipocytes are programmed to store fat under relatively low insulin levels. To get decent lipolysis from visceral fat I suspect that you need really low insulin levels, something a bit like those of ketogenic diets. Well, what do you know...
What is it about the visceral adipocytes that programs this?
Perhaps we should look at IGF-1 for the answer to that one.
Peter
EDIT We don't know the absolute level of signaling in either the sWAT or rWAT tissue. Fed is taken as reference and fasted is shown as the percentage change from the fasted state. The reference value may differ between the two depots. Just needs bearing in mind. END EDIT
Differential response to caloric restriction of retroperitoneal, epididymal, and subcutaneous adipose tissue depots in rats
One problem is that they are trying to do too much, so just ignore any of the bits about caloric restriction (CR) which creep in to the butchered graphs. All I'm really interested in is ad-lib (AL in the graphs) fed mice and their adipocytes. I want to know about normal insulin signalling. Here are the fed and fasted insulin levels from those mice. Fed on the left, fasted on the right, part of Table 1:

The dollar signs denote statistical significance (not paydirt). Next are excerpts from Figure 5. I've cropped out the bar graphs showing the pAKT levels from fed and fasted mice. The group is using pAKT as a good marker of insulin signalling. First here's the SC (sWAT) graph:
We only need to look at the AL group. There is a fed insulin of 1549.76pg/ml supporting the reference level of insulin signalling. Next to it we have the fasted level of insulin signalling, somewhere around half reference value. This is being supported by a plasma insulin level of 477.25pg/ml. Simple. More insulin, more pAKT, more insulin signalling. It seems reasonable to consider that the fed insulin level supports lipid storage in subcutaneous adipocytes and that half this level (fasting) might allow lipolysis. We can ignore the CR group.
Here is the same graph from a sample of retroperitoneal adipocytes:
Here we have, again, the level of insulin signalling supported by a fed state plasma insulin of 1549.76pg/ml as reference and just look at the level of insulin signalling being supported by the fasting insulin level of 477.25pg/ml. It's no different to the fed level of signalling. Hmmmmm.
So, theoretically, most of the fat loss under fasting should come from the subcutaneous adipocytes. We need to go back to Table 1 for that:
There we go, the tissue with the least fasting insulin signalling (sWAT) loses over four times as much lipid as the tissue where insulin signalling is maintained at the lower (fasting, 477.25pg/ml) insulin level (rWAT).
This looks very much like one of the intrinsic differences between subcutaneous adipocytes and visceral adipocytes is that visceral adipocytes maintain insulin signalling at much lower levels of plasma insulin than do subcutaneous adipocytes. You have to store calories which arrive without insulin somewhere. Looks like this is the place!
I'm interested in this because I want to know why VLDLs, released from the liver following lipid overload (from fructose DNL, alcohol DNL or inappropriate FFA release from adipocytes under fructose or alcohol) end up in visceral adipocytes. We know these VLDLs are only released under low insulin levels (that was a long time ago!) and this current paper tells me why the VLDL lipids end up in visceral adipocytes. It's not an address technique, it's just that visceral adipocytes are programmed to store fat under relatively low insulin levels. To get decent lipolysis from visceral fat I suspect that you need really low insulin levels, something a bit like those of ketogenic diets. Well, what do you know...
What is it about the visceral adipocytes that programs this?
Perhaps we should look at IGF-1 for the answer to that one.
Peter
EDIT We don't know the absolute level of signaling in either the sWAT or rWAT tissue. Fed is taken as reference and fasted is shown as the percentage change from the fasted state. The reference value may differ between the two depots. Just needs bearing in mind. END EDIT
Thursday, March 01, 2018
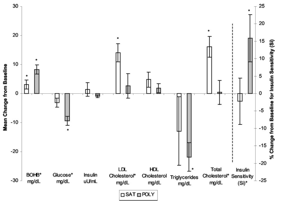
Saturated fats vs PUFA in a 5 day human ketosis trial
Just a one-liner (as if!) via mommymd commenting on an old post:
Differential Metabolic Effects of Saturated Versus Polyunsaturated Fats in Ketogenic Diets
I think I worked through this several years ago but didn't have the tools to comment on it at the time. The recall I have is of reading what the high PUFA group ate. Fake bacon, soy nuts, vegetable oil. Lovely. BUT they ended up much more insulin sensitive than the saturated fat group did over 5 days. Higher ketones, lower glucose, lower trigs, higher insulin sensitivity. I had no explanation for this.
Once you appreciate the Protons concept this is exactly what you would expect. There is continued insulin signalling when there should be physiological insulin resistance. While ever adipocyte size is kept low, via the ketogenic nature of the diet, enhanced insulin sensitivity should persist.
The down side is that glucose metabolism will continue. If your approach to life is to stop using glucose as an energy substrate there is absolutely no need to maintain glycolysis in the face of a ketogenic diet. Simply refusing to listen to insulin is my preferred option. Someone running their metabolism of fats should have minimal need for insulin sensitivity and buying insulin sensitivity at the cost of metabolising linoleic acid, with its daughters 4-HNE and 13-HODE, is not something which appeals to me. But be aware of the study and the joy it will give to the saturophobes...
Peter
Differential Metabolic Effects of Saturated Versus Polyunsaturated Fats in Ketogenic Diets
I think I worked through this several years ago but didn't have the tools to comment on it at the time. The recall I have is of reading what the high PUFA group ate. Fake bacon, soy nuts, vegetable oil. Lovely. BUT they ended up much more insulin sensitive than the saturated fat group did over 5 days. Higher ketones, lower glucose, lower trigs, higher insulin sensitivity. I had no explanation for this.
Once you appreciate the Protons concept this is exactly what you would expect. There is continued insulin signalling when there should be physiological insulin resistance. While ever adipocyte size is kept low, via the ketogenic nature of the diet, enhanced insulin sensitivity should persist.
The down side is that glucose metabolism will continue. If your approach to life is to stop using glucose as an energy substrate there is absolutely no need to maintain glycolysis in the face of a ketogenic diet. Simply refusing to listen to insulin is my preferred option. Someone running their metabolism of fats should have minimal need for insulin sensitivity and buying insulin sensitivity at the cost of metabolising linoleic acid, with its daughters 4-HNE and 13-HODE, is not something which appeals to me. But be aware of the study and the joy it will give to the saturophobes...
Peter
Subscribe to:
Comments (Atom)


















